您好,这里是Counting Stars。
(0411) SAY MY NAME (세이마이네임) 3RD EP ALBUM [&Our Vibe] 发行纪念中国线下签名会(上海场)
工作人员将在4/4 18:00之前通过邮件联系中选人,请注意查收
<活动时间>
4月11日 (六)
<签到地点>
未公开(邮件另行通知)
* 中选人名单中公布的号码即是您的座位号,现场核对身份信息后,请您对号入座。
· 现场核对身份信息时,只认可以下证件:
· 大陆身份证
· 港澳台通行证
· 护照
<签名会中选人注意事项>
1. 活动开始前, 将进行中选人身份信息检查,确认无误后将发放入场凭证。
– 请在规定的时间内到场进行签到。
– 只能使用内地身份证,护照及港澳台通行证的实物进行身份确认。 (拍摄的身份证或护照的照片、扫描件无法作为确认本人身份的凭证)
– 入场号码牌和手环出现破损或丢失时,将无法入场,领取后请妥善保管。
2. 入场后请对号入座。
– 请不要随意更换座位。
– 请在本人的座位上安装拍摄、录影的器材,请勿在过道中安装拍摄器材而导致他人行动不便。
3. 按照座位号依次上台签名。
– 活动现场将为您准备标示好姓名的便利贴及索引贴,请使用索引贴提前标好需要签名的页面。
– 签名会将在固定的时间内进行,签名结束后请回到您的座位上。
<SAY BYE环节注意事项>
1. 请在工作人员的引导下排队有序上台和艺人进行简单的问候。
2. SAY BYE 进行时,若发现以下行为,将取消其名额,强制安排退场:
– 禁止与艺人发生身体接触。
– 禁止向艺人大吼大叫以及试图过多的个人对话。
– 禁止在排队等候及SAY BYE 时进行拍照或录音、录像。
3. 请在SAY BYE 结束后,根据工作人员的安排迅速回到座位上,以确保签名会的正常有序的进行。
– 请在本人顺序上台时,不要在舞台上过久的停留,若发现该行为将由工作人员出面制止。
<活动进行注意事项>
– 禁止转让或售卖入场凭证,一旦发现将强制退场。
– 入场凭证丢失时,无法进入会场。
– 禁止向艺人提出无理的请求,包含隐私的提问等不当行为。
– 请在本人的座位上拍摄照片及视频。
– 禁止在上台签名前排队时及签名过程中拍摄照片,视频,录音等行为。
– 禁止使用带有录音功能的一切电子设备,若发现根据现场情况可能会取消其签售资格 或被要求强制退场。
– 本活动不接受信件外的其他礼物。
考虑安全因素需提前将信件及签售用道具物品放入现场准备好的箱子中,尽请谅解。
– 为了拍摄准备的道具等物品(艺人直接使用的发箍、帽子等),将在提前收集后由工作人员事先进行确认。
– 活动现场禁止进行SNS直播等线上直播行为,若发现该行为将被强制安排退场。
– 为了活动的顺利进行,签名会结束后30分钟后内会短暂限制退场。
– 在签名会活动进行中请坐在自己号码的位置上。当出现私自交换号码或座位、 不按照自己号码排队、不听从现场工作人员指挥的情况,将被视作拒绝配合,而不能获得签名、 HI BYE 等福利。
因本人不按照号码待机而发生的所有问题活动方将不承担责任, 请一定要注意并跟随现场工作人员的指挥。
– 请注意不要做出妨碍其他粉丝观览活动的行为,如发生过分危害的情况将有专人制止。
– 为了当天活动的顺利进行,请遵守现场工作人员的安排,如有妨碍活动顺利进行的行为, 将会被强制要求退场,请提前知晓。
– 若因不遵守上述注意事项引发相关事故,主办方概不负责。
– 本活动是艺人与粉丝们一起度过的珍贵时间,希望参与活动的粉丝朋友们能抱着对艺人喜爱珍惜的 心情使用文明用语及行动。
为了活动的顺利进行,请熟知以上注意事项; 若发现注意事项外的其他妨碍签名会进行的行为时,工作人员将会出面制止。
– 以上所有公告内容有可能会因具体情况发生相应变动。
如您有其他疑问, 请通过support@starskpop.com 联系 ,谢谢。
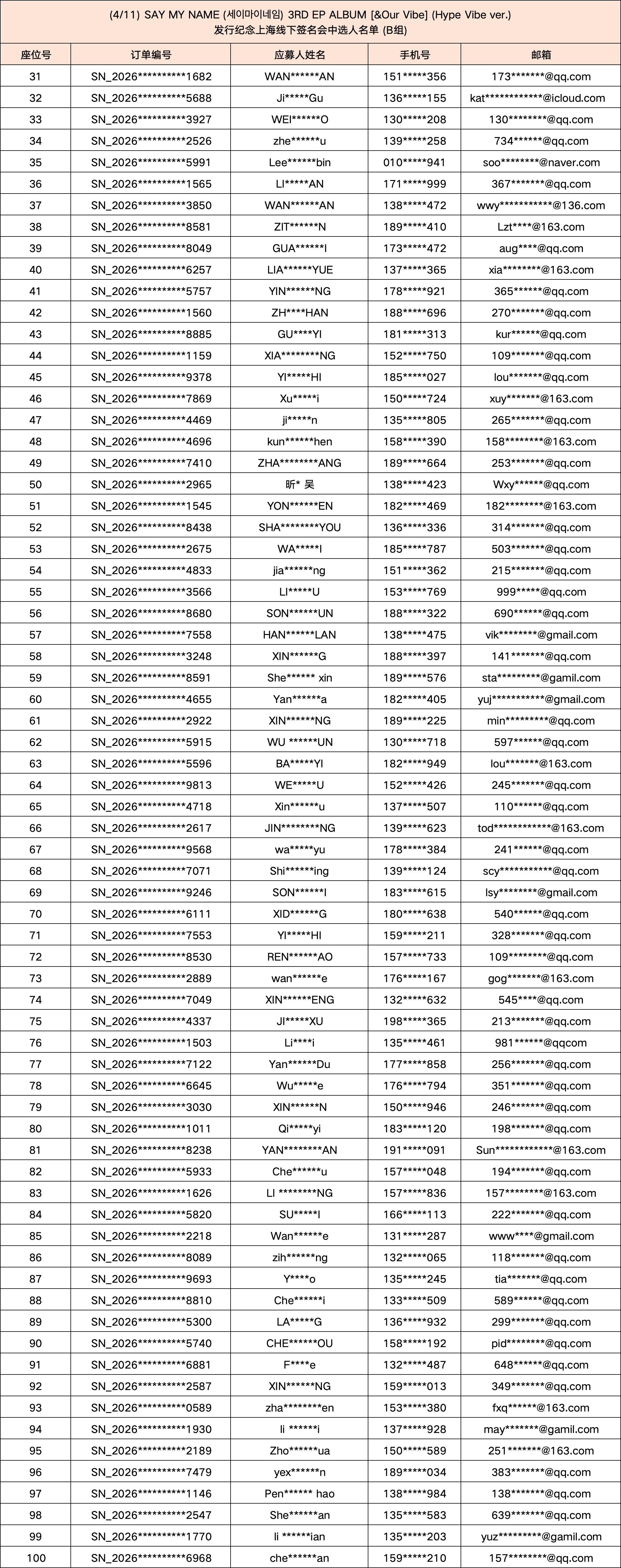
<中选人名单>
